Oblicz, w jakiej odległości od siebie znajdują się budynki w rzeczywistości.
1,3 km
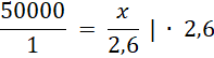
1 cm na mapie to 50 000 cm w terenie,
2,6 cm w ternie to x w rzeczywistości
Zadanie 1.
189Zadanie 2.
189Zadanie 3.
189Zadanie 4.
189Zadanie 6.
189Zadanie 7.
189Zadanie 8.
189Zadanie 10.
190Ćwiczenie Ćwiczenie 2.
190Zadanie 1.
193Zadanie 3.
193Zadanie 4.
193Zadanie 5.
193Zadanie 7.
193Zadanie 10.
194Zadanie 11.
194Zadanie 12.
194Zadanie 9.
200Zadanie 2.
203Zadanie 3.
203Zadanie 4.
203Zadanie 5.
204Zadanie 7.
207Zadanie 1.
209Zadanie 2.
209Zadanie 4.
210Zadanie 6.
210Zadanie 7.
210Ćwiczenie Ćwiczenie 3.
211Zadanie 1.
212Zadanie 9.
212