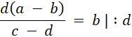
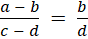
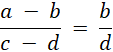
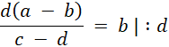
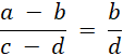
Przekształć równanie
pozbądźmy się mianownika
odejmijmy stronami
wyciągnijmy przed nawiasy wyrazy wspólne
Zadanie 1.
189Zadanie 2.
189Zadanie 3.
189Zadanie 4.
189Zadanie 6.
189Zadanie 7.
189Zadanie 8.
189Zadanie 10.
190Ćwiczenie Ćwiczenie 2.
190Zadanie 1.
193Zadanie 3.
193Zadanie 4.
193Zadanie 5.
193Zadanie 7.
193Zadanie 10.
194Zadanie 11.
194Zadanie 12.
194Zadanie 9.
200Zadanie 2.
203Zadanie 3.
203Zadanie 4.
203Zadanie 5.
204Zadanie 7.
207Zadanie 1.
209Zadanie 2.
209Zadanie 4.
210Zadanie 6.
210Zadanie 7.
210Ćwiczenie Ćwiczenie 3.
211Zadanie 1.
212Zadanie 9.
212