W tym zadaniu musisz rozwiązać równanie
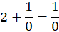
Sprawdzamy:
Równanie jest sprzeczne, ponieważ otrzymaliśmy dzielenie przez 0.
Pomnóż obie strony przez x – 2, oblicz, a następnie sprawdź, czy oba wyniki są poprawne.
Ćwiczenie 1
128Ćwiczenie 2
130Zadanie 1
130Zadanie 2
130Zadanie 3
131Ćwiczenie 1
132Ćwiczenie 2
133Ćwiczenie 3
135Ćwiczenie 5
136Ćwiczenie 6
137Zadanie 1
140Zadanie 2
140Zadanie 1
145Zadanie 2
145Zadanie 1
149Zadanie 1
154Zadanie 2
155Zadanie 1
160Zadanie 2
160Zadanie 1
164Zadanie 2
164Zadanie 4
173Zadanie 1
176Zadanie 2
176