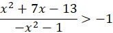
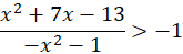
W tym zadaniu musisz rozwiązać nierówność
Wykonaj obliczenia:
Nierówność ta jest spełniona, gdy:
Ćwiczenie 1
128Ćwiczenie 2
130Zadanie 1
130Zadanie 2
130Zadanie 3
131Ćwiczenie 1
132Ćwiczenie 2
133Ćwiczenie 3
135Ćwiczenie 5
136Ćwiczenie 6
137Zadanie 1
140Zadanie 2
140Zadanie 1
145Zadanie 2
145Zadanie 1
149Zadanie 1
154Zadanie 2
155Zadanie 1
160Zadanie 2
160Zadanie 1
164Zadanie 2
164Zadanie 4
173Zadanie 1
176Zadanie 2
176