W tym zadaniu musisz znaleźć pole trapezu ABCD, jeśli znane są współrzędne dwóch wierzchołków tego trapezu oraz wiadomo, że trapez ten jest wpisany w okrąg o środku S.
Najpierw wyznaczymy równanie prostej zawierająca podstawę AB. Niech y = ax + b:
Jest to prosta y = x + 4 (x – y + 4 = 0).
Długość podstawy AB to:
Promień okręgu opisanego na trapezie ABCD ma długość:
Jego równanie to:
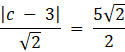
Prosta zawierająca podstawę CD jest równoległa do prostej AB, zatem jej równanie można zapisać jako y = x + c lub x – y + c = 0. Jest ona odległa od punktu S(-2,1) o
Zachodzą dwa przypadki.
Przypadek 1: prosta CD ma równanie y = x + 8 (x – y + 8 = 0). Punkty wspólne tej prostej i okręgu znajdziemy z równania:
Są to punkty C(-7,1) i D(2,10).
Wysokość trapezu ma długość:
Długość podstawy CD to:
Pole trapezu to:
Przypadek 2: prosta CD ma równanie y = x - 2 (x – y - 2 = 0). Punkty wspólne tej prostej i okręgu znajdziemy z równania:
Są to punkty C(-2,-4) i D(3,1).
Wysokość trapezu ma długość:
Długość podstawy CD to:
Pole trapezu to:
Równanie okręgu o środku w punkcie S i promieniu r to:
Odległość pomiędzy dwoma punktami
Współrzędne środka S odcinka AB o końcach w punktach
Zadanie 1
74Zadanie 5
74Zadanie 7
74Zadanie 8
74Zadanie 10
75Zadanie 11
75Zadanie 12
75Zadanie 14
76Zadanie 15
76Zadanie 16
76Zadanie 18
76Zadanie 19
76Zadanie 28
77Zadanie 6
78Zadanie 7
78Zadanie 16
79Zadanie 26
80Zadanie 1
81Zadanie 4
81Zadanie 5
81Zadanie 9
82Zadanie 16
82Zadanie 1
84Zadanie 2
84Zadanie 3
84Zadanie 4
84Zadanie 8
85Zadanie 9
85Zadanie 10
85Zadanie 12
85Zadanie 17
86Zadanie 19
86Zadanie 20
86Zadanie 23
87Zadanie 24
87Zadanie 30
87Zadanie 1
88Zadanie 2
88Zadanie 4
88Zadanie 14
89Zadanie 17
90Zadanie 18
90Zadanie 19
90Zadanie 20
90Zadanie 26
91Zadanie 27
91Zadanie 29
91Zadanie 1
92Zadanie 2
92Zadanie 3
92Zadanie 4
92Zadanie 13
93Zadanie 20
94Zadanie 21
94Zadanie 1
95Zadanie 2
95Zadanie 6
95Zadanie 10
96Zadanie 11
96Zadanie 12
96Zadanie 18
97Zadanie 1
99Zadanie 2
99Zadanie 3
99Zadanie 4
99Zadanie 6
99Zadanie 8
100Zadanie 9
100Zadanie 10
100Zadanie 11
100Zadanie 12
101Zadanie 13
101Zadanie 16
102Zadanie 18
102Zadanie 21
102Zadanie 22
103Zadanie 23
103Zadanie 24
103Zadanie 28
104Zadanie 29
104Zadanie 2
105Zadanie 3
105Zadanie 4
105Zadanie 5
105Zadanie 7
105Zadanie 8
106Zadanie 10
106Zadanie 11
106Zadanie 12
106Zadanie 13
106Zadanie 14
106Zadanie 15
107Zadanie 17
107Zadanie 18
107Zadanie 19
107Zadanie 21
107Zadanie 22
107Zadanie 23
108Zadanie 24
108Zadanie 25
108Zadanie 28
108Zadanie 1
109Zadanie 4
109Zadanie 5
109Zadanie 7
109Zadanie 11
110Zadanie 13
110Zadanie 14
110Zadanie 1
112Zadanie 2
112Zadanie 4
112Zadanie 11
113Zadanie 15
113Zadanie 17
114Zadanie 18
114Zadanie 19
114Zadanie 20
114Zadanie 21
114Zadanie 23
114Zadanie 26
114Zadanie 4
115Zadanie 6
115Zadanie 7
115Zadanie 9
116Zadanie 11
116Zadanie 13
116Zadanie 14
116Zadanie 15
116Zadanie 16
117Zadanie 17
117Zadanie 19
117Zadanie 20
117Zadanie 22
117Zadanie 23
117Zadanie 26
118Zadanie 27
118Zadanie 28
118Zadanie 2
119Zadanie 20
121Zadanie 22
121Zadanie 24
121Zadanie 26
121Zadanie 31
122Zadanie 32
122Zadanie 34
122