Zadanie

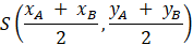
W tym zadaniu musisz znaleźć taką wartość parametru m, aby podany punkt S był środkiem odcinka o końcach w punktach A i B.

Rozwiązanie

Wyjaśnienie

Zadania z tego działu
2. Geometria analityczna
71
2.8. Koło w układzie współrzędnych
99
2.9. Działania na wektorach
105

Zadanie 2

105

Zadanie 3

105

Zadanie 4

105

Zadanie 5

105

Zadanie 7

105

Zadanie 8

106

Zadanie 10

106

Zadanie 11

106

Zadanie 12

106

Zadanie 13

106

Zadanie 14

106

Zadanie 15

107

Zadanie 17

107

Zadanie 18

107

Zadanie 19

107

Zadanie 21

107

Zadanie 22

107

Zadanie 23

108

Zadanie 24

108

Zadanie 25

108

Zadanie 28

108