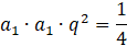
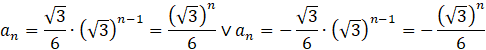
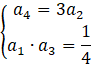
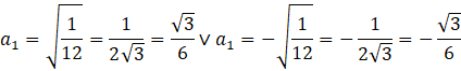
W tym zadaniu wyznacz wzór ogólny monotonicznego ciągu geometrycznego.
Wzór ogólny ciągu geometrycznego (an) o pierwszym wyrazie a1 i ilorazie q ma postać: an = a1 · qn – 1, gdzie a1 to pierwszy wyraz ciągu, natomiast q to iloraz ciągu.
Ćwiczenie 1.
112Ćwiczenie 3.
113Ćwiczenie 4.
113Zadanie 1.
114Zadanie 2.
114Zadanie 3.
114Zadanie 4.
114Ćwiczenie 1.
115Ćwiczenie 2.
115Ćwiczenie 3.
115Ćwiczenie 4.
116Ćwiczenie 5.
116Ćwiczenie 6.
116Zadanie 1.
117Zadanie 2.
117Zadanie 3.
117Zadanie 4.
117Zadanie 5.
117Zadanie 6.
117Zadanie 7.
117Zadanie 8.
117Zadanie 9.
117Zadanie 10.
117Zadanie 13.
117Zadanie 14.
118Zadanie 15.
118Ćwiczenie 1.
119Ćwiczenie 2.
120Ćwiczenie 3.
120Ćwiczenie 4.
120Ćwiczenie 5.
120Ćwiczenie 6.
120Ćwiczenie 7.
121Ćwiczenie 8.
121Zadanie 1.
121Zadanie 2.
121Zadanie 3.
121Zadanie 4.
121Zadanie 5.
122Zadanie 6.
122Zadanie 7.
122Zadanie 8.
122Zadanie 9.
122Zadanie 10.
122Zadanie 11.
122Zadanie 12.
122Ćwiczenie 1.
123Ćwiczenie 2.
123Ćwiczenie 3.
123Ćwiczenie 4.
123Ćwiczenie 5.
123Zadanie 1.
123Zadanie 2.
126Zadanie 3.
126Zadanie 4.
126Zadanie 5.
126Zadanie 6.
126Zadanie 7.
126Zadanie 8.
126Ćwiczenie 1.
128Ćwiczenie 2.
129Ćwiczenie 3.
129Ćwiczenie 4.
129Ćwiczenie 5.
129Ćwiczenie 6.
129Ćwiczenie 7.
130Zadanie 1.
130Zadanie 2.
130Zadanie 3.
130Zadanie 4.
130Zadanie 5.
131Zadanie 6.
131Zadanie 7.
131Zadanie 8.
131Zadanie 11.
131Zadanie 12.
131Zadanie 13.
131Ćwiczenie 1.
132Ćwiczenie 2.
132Ćwiczenie 3.
133Zadanie 1.
133Zadanie 2.
133Zadanie 3.
133Zadanie 4.
133Zadanie 5.
134Zadanie 6.
134Zadanie 7.
134Zadanie 8.
134Zadanie 9.
134Zadanie 10.
134Zadanie 11.
134Zadanie 1.
135Zadanie 2.
135Zadanie 4.
135Ćwiczenie 1.
136Ćwiczenie 2.
137Ćwiczenie 3.
137Ćwiczenie 4.
137Ćwiczenie 6.
138Zadanie 1.
138Zadanie 2.
138Zadanie 3.
138Zadanie 4.
138Zadanie 5.
138Zadanie 6.
138Zadanie 7.
139Zadanie 8.
139Zadanie 9.
139Zadanie 10.
139Zadanie 11.
139Zadanie 12.
139Ćwiczenie 1.
140Zadanie 1.
141Zadanie 2.
141Zadanie 4.
141Zadanie 5.
141Zadanie 7.
141Zadanie 8.
141Ćwiczenie 2.
142Ćwiczenie 3.
142Ćwiczenie 4.
142Ćwiczenie 5.
143Ćwiczenie 6.
143Ćwiczenie 7.
143Zadanie 1.
143Zadanie 2.
144Zadanie 3.
144Zadanie 4.
144Zadanie 5.
144Zadanie 6.
144Zadanie 7.
144Ćwiczenie 1.
145Ćwiczenie 2.
145Ćwiczenie 3.
146Ćwiczenie 5.
146Zadanie 1.
147Zadanie 2.
147Zadanie 3.
147Zadanie 6.
147Zadanie 7.
147Ćwiczenie 1.
148Ćwiczenie 2.
148Ćwiczenie 3.
149Ćwiczenie 4.
149Ćwiczenie 6.
149Zadanie 1.
150Zadanie 2.
150Zadanie 4.
150Zadanie 5.
150Zadanie 6.
150Zadanie 7.
150Zadanie 9.
151Zadanie 11.
151Zadanie 16.
151Zadanie 17.
151Zadanie 18.
151Zadanie 19.
151Ćwiczenie 1.
153Zadanie 1.
153Zadanie 7.
153Zadanie 10.
154Zadanie 12.
154Ćwiczenie 1.
155Ćwiczenie 3.
156Ćwiczenie 5.
158Ćwiczenie 7.
158Ćwiczenie 8.
158Zadanie 1.
159Zadanie 2.
159Zadanie 5.
159Zadanie 9.
160Zadanie 10.
160Zadanie 11.
160Zadanie 1.
161Zadanie 2.
162Zadanie 3.
162Zadanie 4.
162Zadanie 1.
164Zadanie 2.
164Zadanie 3.
164Zadanie 4.
164Zadanie 5.
164Zadanie 6.
164Zadanie 7.
164Zadanie 8.
164Zadanie 11.
165Zadanie 12.
165Zadanie 13.
165Zadanie 14.
165Zadanie 15.
165Zadanie 19.
165Zadanie 20.
165Zadanie 1.
166Zadanie 2.
166Zadanie 5.
166Zadanie 6.
166Zadanie 7.
166Zadanie 8.
166Zadanie 9.
166Zadanie 11.
167Zadanie 12.
167Zadanie 16.
167