Udowodnij tezę postawioną w poleceniu zadania.
Funkcja jest rosnąca, gdy spełniony jest warunek:
Jeśli
Założenie:
Teza:
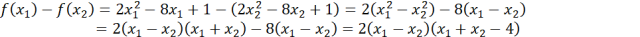
Dowód:
Wszystkie nawiasy są większe od zera, więc
Funkcją kwadratową nazywamy funkcję, którą można opisać wzorem y=ax2+bx+c, gdzie a≠0. Liczby rzeczywiste a, b oraz c nazywamy współczynnikami funkcji kwadratowej. Dziedziną funkcji kwadratowej jest zbiór liczb rzeczywistych.
Zadanie 1.1.
368Zadanie 1.2.
369Zadanie 1.3.
369Zadanie 1.4.
369Zadanie 1.5.
369Zadanie 1.7.
369Zadanie 1.8.
369Zadanie 1.13.
370Zadanie 2.1.
375Zadanie 2.2.
375Zadanie 2.3.
376Zadanie 2.4.
376Zadanie 2.5.
376Zadanie 2.6.
376Zadanie 2.7.
376Zadanie 2.8.
376Zadanie 2.9.
376Zadanie 2.13.
377Zadanie 2.14.
377Zadanie 2.15.
377Zadanie 2.16.
377Zadanie 3.1.
383Zadanie 3.2.
383Zadanie 3.3.
383Zadanie 3.4.
383Zadanie 3.5.
383Zadanie 3.6.
383Zadanie 3.7.
384Zadanie 3.8.
384Zadanie 3.17.
384Zadanie 3.18.
385Zadanie 22.
390Zadanie 23.
390Zadanie 24.
391Zadanie 27.
391Zadanie 30.
391Zadanie 32.
391Zadanie 35.
392Zadanie 39.
392