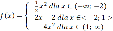
Narysuj wykres funkcji określonej wzorem:
Narysuj wykres funkcji, a następnie odczytaj z niego, dla jakich argumentów funkcja przyjmuje ujemne wartości.
Zadanie 1.1.
368Zadanie 1.2.
369Zadanie 1.3.
369Zadanie 1.4.
369Zadanie 1.5.
369Zadanie 1.7.
369Zadanie 1.8.
369Zadanie 1.13.
370Zadanie 2.1.
375Zadanie 2.2.
375Zadanie 2.3.
376Zadanie 2.4.
376Zadanie 2.5.
376Zadanie 2.6.
376Zadanie 2.7.
376Zadanie 2.8.
376Zadanie 2.9.
376Zadanie 2.13.
377Zadanie 2.14.
377Zadanie 2.15.
377Zadanie 2.16.
377Zadanie 3.1.
383Zadanie 3.2.
383Zadanie 3.3.
383Zadanie 3.4.
383Zadanie 3.5.
383Zadanie 3.6.
383Zadanie 3.7.
384Zadanie 3.8.
384Zadanie 3.17.
384Zadanie 3.18.
385Zadanie 22.
390Zadanie 23.
390Zadanie 24.
391Zadanie 27.
391Zadanie 30.
391Zadanie 32.
391Zadanie 35.
392Zadanie 39.
392