Wyznacz osie symetrii wszystkich podanych funkcji i je porównaj.
Prawidłową odpowiedzią jest C.
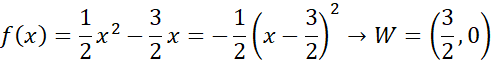
Zapisz podane wzory funkcji w postaci kanonicznej i na tej podstawie odczytaj współrzędne ich wierzchołków. Osią symetrii paraboli będzie pierwsza współrzędna wierzchołka.
Zadanie 1.1.
368Zadanie 1.2.
369Zadanie 1.3.
369Zadanie 1.4.
369Zadanie 1.5.
369Zadanie 1.7.
369Zadanie 1.8.
369Zadanie 1.13.
370Zadanie 2.1.
375Zadanie 2.2.
375Zadanie 2.3.
376Zadanie 2.4.
376Zadanie 2.5.
376Zadanie 2.6.
376Zadanie 2.7.
376Zadanie 2.8.
376Zadanie 2.9.
376Zadanie 2.13.
377Zadanie 2.14.
377Zadanie 2.15.
377Zadanie 2.16.
377Zadanie 3.1.
383Zadanie 3.2.
383Zadanie 3.3.
383Zadanie 3.4.
383Zadanie 3.5.
383Zadanie 3.6.
383Zadanie 3.7.
384Zadanie 3.8.
384Zadanie 3.17.
384Zadanie 3.18.
385Zadanie 22.
390Zadanie 23.
390Zadanie 24.
391Zadanie 27.
391Zadanie 30.
391Zadanie 32.
391Zadanie 35.
392Zadanie 39.
392