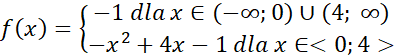
Opisz funkcję przedstawioną na wykresie, za pomocą wzoru.
Parabola to krzywa będąca zbiorem punktów równoodległych od prostej zwanej kierownicą paraboli i punktu zwanego ogniskiem paraboli.
Zadanie 1.1.
368Zadanie 1.2.
369Zadanie 1.3.
369Zadanie 1.4.
369Zadanie 1.5.
369Zadanie 1.7.
369Zadanie 1.8.
369Zadanie 1.13.
370Zadanie 2.1.
375Zadanie 2.2.
375Zadanie 2.3.
376Zadanie 2.4.
376Zadanie 2.5.
376Zadanie 2.6.
376Zadanie 2.7.
376Zadanie 2.8.
376Zadanie 2.9.
376Zadanie 2.13.
377Zadanie 2.14.
377Zadanie 2.15.
377Zadanie 2.16.
377Zadanie 3.1.
383Zadanie 3.2.
383Zadanie 3.3.
383Zadanie 3.4.
383Zadanie 3.5.
383Zadanie 3.6.
383Zadanie 3.7.
384Zadanie 3.8.
384Zadanie 3.17.
384Zadanie 3.18.
385Zadanie 22.
390Zadanie 23.
390Zadanie 24.
391Zadanie 27.
391Zadanie 30.
391Zadanie 32.
391Zadanie 35.
392Zadanie 39.
392