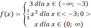
Narysuj wykres funkcji
Narysuj wykres funkcji. Liczbę rozwiązań równania f(x)=m w zależności od warunku m możesz określić, oceniając ile razy pozioma prosta y=m przecina wykres f(x).
Zadanie 1.1.
368Zadanie 1.2.
369Zadanie 1.3.
369Zadanie 1.4.
369Zadanie 1.5.
369Zadanie 1.7.
369Zadanie 1.8.
369Zadanie 1.13.
370Zadanie 2.1.
375Zadanie 2.2.
375Zadanie 2.3.
376Zadanie 2.4.
376Zadanie 2.5.
376Zadanie 2.6.
376Zadanie 2.7.
376Zadanie 2.8.
376Zadanie 2.9.
376Zadanie 2.13.
377Zadanie 2.14.
377Zadanie 2.15.
377Zadanie 2.16.
377Zadanie 3.1.
383Zadanie 3.2.
383Zadanie 3.3.
383Zadanie 3.4.
383Zadanie 3.5.
383Zadanie 3.6.
383Zadanie 3.7.
384Zadanie 3.8.
384Zadanie 3.17.
384Zadanie 3.18.
385Zadanie 22.
390Zadanie 23.
390Zadanie 24.
391Zadanie 27.
391Zadanie 30.
391Zadanie 32.
391Zadanie 35.
392Zadanie 39.
392