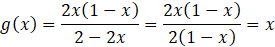
Korzystając z definicji równości funkcji, udowodnij, że funkcje
Funkcja f:
Funkcja g:
Funkcjami równymi nazywamy dwie funkcje, które mają jednakowe dziedziny oraz dla każdego argumentu należącego do wspólnej dziedziny wartości obu funkcji są jednakowe.
Zadanie 3.1.
81Zadanie 3.2.
81Zadanie 3.4.
81Zadanie 3.5.
82Zadanie 3.6.
82Zadanie 3.7.
82Zadanie 3.8.
82Zadanie 3.9.
82Zadanie 3.10.
83Zadanie 3.11.
83Zadanie 3.12.
83Zadanie 3.13.
83Zadanie 3.14.
83Zadanie 3.15.
84Zadanie 3.16.
84Zadanie 3.17.
84Zadanie 3.18.
84Zadanie 3.19.
84Zadanie 3.20.
85Zadanie 3.21.
85Zadanie 3.23.
85Zadanie 3.24.
86Zadanie 3.25
86Zadanie 3.26.
86Zadanie 3.28.
86Zadanie 3.29.
86Zadanie 3.30.
86Zadanie 3.31.
87Zadanie 3.32.
87Zadanie 3.33.
87Zadanie 3.34.
87Zadanie 3.35.
87Zadanie 3.36.
87Zadanie 3.37.
87Zadanie 3.38.
88Zadanie 3.39.
88Zadanie 3.40.
88Zadanie 3.41.
88Zadanie 3.42.
89Zadanie 3.43.
89Zadanie 3.44.
89Zadanie 3.45.
90Zadanie 3.46.
90Zadanie 3.47.
90Zadanie 3.48.
90Zadanie 3.49.
91Zadanie 3.50.
91Zadanie 3.51.
91Zadanie 3.52.
91Zadanie 3.53.
91Zadanie 3.54.
92Zadanie 3.55.
92Zadanie 3.58.
92Zadanie 3.59.
93Zadanie 3.60.
93Zadanie 3.61.
93Zadanie 3.62.
94Zadanie 3.63.
94Zadanie 3.64.
94Zadanie 3.65.
94Zadanie 3.66.
95Zadanie 3.67.
95Zadanie 3.70.
96Zadanie 3.71.
96Zadanie 3.75.
96Zadanie 3.76.
96Zadanie 3.77.
97Zadanie 3.78.
97Zadanie 3.79.
97Zadanie 3.80.
97Zadanie 3.81.
97Zadanie 3.82.
98Zadanie 3.83.
98Zadanie 3.84.
98Zadanie 3.85.
98Zadanie 3.86.
98Zadanie 3.87.
99Zadanie 3.88.
99Zadanie 3.89.
100Zadanie 3.90.
100Zadanie 3.91.
100Zadanie 3.92.
100Zadanie 3.93.
100Zadanie 3.94.
101Zadanie 3.95.
101Zadanie 3.96.
101Zadanie 3.97.
102Zadanie 3.98.
102Zadanie 3.99.
102Zadanie 3.100.
102Zadanie 3.101.
103Zadanie 3.102.
103Zadanie 3.103.
104Zadanie 3.104.
104Zadanie 3.105.
105Zadanie 3.106.
105Zadanie 3.107.
105Zadanie 3.108.
106Zadanie 3.109.
106Zadanie 3.114.
106Zadanie 3.115.
106Zadanie 3.116.
107Zadanie 3.117.
107Zadanie 3.118.
107Zadanie 3.119.
108Zadanie 3.124.
108Zadanie 3.125.
109Zadanie 3.126.
109Zadanie 3.127.
109Zadanie 3.128.
109Zadanie 3.129.
110Zadanie 3.130.
110Zadanie 3.131.
111Zadanie 3.132.
111Zadanie 3.133.
111Zadanie 3.134.
111Zadanie 3.135.
111Zadanie 3.136.
111Zadanie 3.138.
112Zadanie 3.139.
112Zadanie 3.140.
112Zadanie 3.141.
112Zadanie 3.142.
113Zadanie 3.143.
114Zadanie 3.144.
114Zadanie 3.145.
114Zadanie 3.146.
115Zadanie 3.147.
115Zadanie 3.148.
115Zadanie 3.149.
115Zadanie 3.150.
115Zadanie 3.151.
116Zadanie 3.160.
117Zadanie 3.161.
118Zadanie 3.162.
118Zadanie 3.163.
119Zadanie 3.164.
119Zadanie 16.
123Zadanie 17.
123Zadanie 18.
123Zadanie 19.
123Zadanie 21.
124Zadanie 24.
124Zadanie 25.
124Zadanie 26.
124Zadanie 27.
124Zadanie 28.
125Zadanie 29.
125Zadanie 30.
125Zadanie 31.
125Zadanie 32.
125Zadanie 33.
126Zadanie 34.
126Zadanie 35.
126Zadanie 36.
126