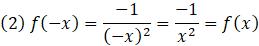
Zadanie

Udowodnij, że funkcja jest funkcją parzystą.

Rozwiązanie

Wyjaśnienie

Zadania z tego działu
3. Funkcja i jej własności
81
Miejsca zerowe funkcji
96

Zadanie 3.75.

96

Zadanie 3.76.

96

Zadanie 3.77.

97

Zadanie 3.78.

97

Zadanie 3.79.

97

Zadanie 3.80.

97

Zadanie 3.81.

97

Zadanie 3.82.

98

Zadanie 3.83.

98

Zadanie 3.84.

98

Zadanie 3.85.

98

Zadanie 3.86.

98

Zadanie 3.87.

99

Zadanie 3.88.

99

Zadanie 3.89.

100

Zadanie 3.90.

100

Zadanie 3.91.

100

Zadanie 3.92.

100

Zadanie 3.93.

100

Zadanie 3.94.

101

Zadanie 3.95.

101
Zastosowanie wiadomości o funkcjach do opisywania, interpretowania i przetwarzania informacji wyrażonych w postaci wykresu
117