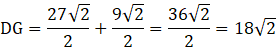
W tym zadaniu musisz obliczyć długość odcinka DG.
Skorzystaj z poprzedniego podpunktu.
Długość odcinka DG to suma d i c, więc zsumuj je.
Zadanie 2.
108Zadanie 3.
108Zadanie 4.
108Zadanie 6.
109Zadanie 1.
111Zadanie 3.
111Zadanie 22.
113Zadanie 24.
113Zadanie 26.
113Zadanie 1.
114Zadanie 2.
114Zadanie 3.
114Zadanie 4.
114Zadanie 5.
114Zadanie 17.
115Zadanie 27.
116Zadanie 30.
116Zadanie 1.
117Zadanie 2.
117Zadanie 4.
117Zadanie 5.
117Zadanie 6.
117Zadanie 10.
118Zadanie 11.
118Zadanie 13.
118Zadanie 15.
118Zadanie 21.
119