W tym zadaniu musisz obliczyć obwód czworokąta ABCD.
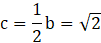
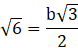
Na rysunku pomocniczym oznacz wszystkie boki. Wiedząc, że najdłuższym bokiem trójkąta jest przeciwprostokątna, czyli wysokość trójkąta równobocznego. Wzór na tę wysokość to
Zadanie 2.
108Zadanie 3.
108Zadanie 4.
108Zadanie 6.
109Zadanie 1.
111Zadanie 3.
111Zadanie 22.
113Zadanie 24.
113Zadanie 26.
113Zadanie 1.
114Zadanie 2.
114Zadanie 3.
114Zadanie 4.
114Zadanie 5.
114Zadanie 17.
115Zadanie 27.
116Zadanie 30.
116Zadanie 1.
117Zadanie 2.
117Zadanie 4.
117Zadanie 5.
117Zadanie 6.
117Zadanie 10.
118Zadanie 11.
118Zadanie 13.
118Zadanie 15.
118Zadanie 21.
119