Musisz obliczyć pole każdej figury i podać je w centymetrach kwadratowych.
Rozwiązanie
Wyjaśnienie
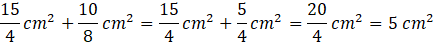
Krawędź jednej kratki ma 5 mm, więc pole jednej kratki to 25 mm2. 1 cm2 to 100 mm2, czyli 4 razy więcej niż pole jednej kratki. 100 : 25 = 4. Jedna kratka to cm2. Policz kratki, które zostały zacieniowane i oblicz pole zapisując ułamek o liczniku równym ilości kratek, i mianowniku równym 4, a następnie wyłącz całości. Do tego dodaj ułamek o liczniku równym ilości połówek kratek i mianowniku równym 8. Skróć lub rozszerz te ułamki, aby miały taki sam mianownik, a następnie je dodaj.