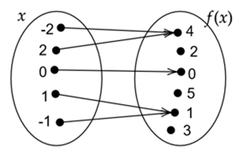
Funkcję
przedstaw za pomocą grafu i tabeli, jeśli dane są zbiory
oraz
, jeśli każdemu argumentowi przyporządkowuje ona jego kwadrat.
|
| -2 | -1 | 0 | 1 | 2 |
|
| 4 | 1 | 0 | 1 | 4 |
Narysuj tabelę, w pierwszym wierszu wpisz liczby ze zbioru X, a w drugim wierszu tabeli wpisz odpowiadające im kwadraty.
Następnie narysuj graf i postąp podobnie jak z tabelą. Z lewej strony wpisz liczby ze zbioru X, a z prawej liczby ze zbioru Y i połącz je z ich kwadratami.
Ćwiczenie 2
165Ćwiczenie 4
166Ćwiczenie 5
166Ćwiczenie 6
167Zadanie 1
167Zadanie 2
167Zadanie 3
167Zadanie 4
168Zadanie 5
168Zadanie 7
168Zadanie 8
168Zadanie 9
168Zadanie 10
168Zadanie 11
168Zadanie 2
169Zadanie 4
169Ćwiczenie 2
170Ćwiczenie 3
171Ćwiczenie 4
172Ćwiczenie 5
172Ćwiczenie 6
172Zadanie 1
174Zadanie 2
174Zadanie 3
174Zadanie 4
174Zadanie 5
174Zadanie 6
174Ćwiczenie 1
175Ćwiczenie 2
175Ćwiczenie 3
176Ćwiczenie 4
176Ćwiczenie 5
176Ćwiczenie 6
177Ćwiczenie 7
177Ćwiczenie 8
177Ćwiczenie 9
178Zadanie 1
178Zadanie 2
178Zadanie 4
178Zadanie 5
179Zadanie 6
179Zadanie 7
179Zadanie 8
179Zadanie 9
179Zadanie 10
179Ćwiczenie 1
181Ćwiczenie 2
181Ćwiczenie 3
182Zadanie 1
183Zadanie 3
183Zadanie 4
183Zadanie 5
183Zadanie 1
184Ćwiczenie 1
185Ćwiczenie 2
186Zadanie 1
187Zadanie 2
188Zadanie 3
188Zadanie 4
188Zadanie 5
188Zadanie 6
188Zadanie 7
188Zadanie 8
188Ćwiczenie 1
189Ćwiczenie 2
190Ćwiczenie 3
190Zadanie 1
191Zadanie 2
191Zadanie 3
191Zadanie 4
191Zadanie 5
191Zadanie z infografiką 1
192Ćwiczenie 1
193Zadanie 1
194Zadanie 2
194Zadanie 3
194Zadanie 4
194Zadanie 6
194Zadanie 7
194Ćwiczenie 1
195Ćwiczenie 2
196Zadanie 1
196Zadanie 2
196Zadanie 3
196Zadanie 4
196Zadanie 5
196Ćwiczenie 1
197Ćwiczenie 3
197Ćwiczenie 4
197Ćwiczenie 5
198Ćwiczenie 6
199Zadanie 1
199Zadanie 2
199Zadanie 3
199Zadanie 4
199Zadanie 5
199Ćwiczenie 1
200Ćwiczenie 2
200Zadanie 1
201Zadanie 2
201Zadanie 3
201Zadanie 4
201Zadanie 5
201Zadanie 6
201Zadanie 7
201Ćwiczenie 1
202Ćwiczenie 2
202Ćwiczenie 3
203Ćwiczenie 4
203Ćwiczenie 5
203Ćwiczenie 6
204Zadanie 1
205Zadanie 2
205Zadanie 3
205Zadanie 4
205Zadanie 5
205Ćwiczenie 1
206Ćwiczenie 2
206Ćwiczenie 3
207Zadanie 1
208Zadanie 2
208Zadanie 3
208Zadanie 4
208Zadanie 5
208Zadanie 6
208Zadanie 7
208Ćwiczenie 3
210Zadanie 1
211Zadanie 2
211Zadanie 3
211Zadanie 5
211Zadanie 1
212Zadanie 2
212Zadanie 3
212Zadanie 4
212Zadanie 5
212Zadanie 6
212Zadanie 1
213Zadanie 2
213Zadanie 3
213Zadanie 4
213Zadanie 5
213Zadanie 6
213Zadanie 1
214Zadanie 2
214