W tym zadaniu musisz udowodnić stwierdzenie podane w treści zadania.
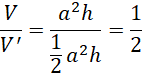
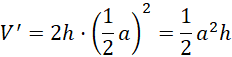
Co należało udowodnić.
Wykonaj obliczenia na podstawie wzoru na objętość graniastosłupa (iloczyn pola podstawy i wysokości). Następnie porównaj ze sobą otrzymane objętości.
Ćwiczenie 1
174Zadanie 1
178Zadanie 2
178Zadanie 4
178Zadanie 7
179Zadanie 14
179Zadanie 15
179Zadanie 16
180Zadanie 17
180Zadanie dla dociekliwych 2
181Ćwiczenie sprawdzające IV
181Ćwiczenie 2
184Ćwiczenie 3.1
185Ćwiczenie 3.2
185Zadanie 1
187Zadanie 9
188Ćwiczenie sprawdzające I
189Ćwiczenie 1.2
192Zadanie 1
195Zadanie 2
195Zadanie 3
195Zadanie 4
195Zadanie 5
195Zadanie 6
196Zadanie 8
196Ćwiczenie sprawdzające IV
197Ćwiczenie 1
200Zadanie 2
203Zadanie 4
203Zadanie 5
203Zadanie 9
204Zadanie 10
204Zadanie 12
204Ćwiczenie 1
207Zadanie 1
207Zadanie 8
207Zadanie 9
208Zadanie 10
209Ćwiczenie 1.1
211Ćwiczenie 1.2
212Zadanie 1
214Ćwiczenie sprawdzające I
215Ćwiczenie sprawdzające IV
215Ćwiczenie 1
217Zadanie 1
218Zadanie 4
219Zadanie 5
219Zadanie 7
220Zadanie 8
220Zadanie 10
220Zadanie 11
220Zadanie 12
221Zadanie 14
221Zadanie 17
222Zadanie 21
223Ćwiczenie sprawdzające IV
224Zadanie 3
228Zadanie 9
229Zadanie 1.4
231Zadanie 2.3
232Zadanie 2.6
233Zadanie 1
235Zadanie 3
235Zadanie 4
236Zadanie 8
237Zadanie 9
237Zadanie 13
237