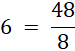
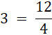
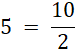
Musisz uzupełnić podane przykłady.
12 : 3 = 4
10 : 5 = 2
48 : 6 = 8
Zadanie 3.
70Zadanie 4.
70Zadanie 5.
71Zadanie 3.
72Zadanie 4.
73Zadanie 5.
73Zadanie 2.
74Zadanie 3.
74Zadanie 5.
75Zadanie 6.
75Zadanie 7.
75Zadanie 8.
75Zadanie 9.
75Zadanie 1.
76Zadanie 2.
76Zadanie 4.
76Zadanie 5.
77Zadanie 6.
77Zadanie 1.
78Zadanie 3.
78Zadanie 5.
79Zadanie 6.
79Zadanie 8.
79Zadanie 1.
80Zadanie 2.
80Zadanie 4.
80Zadanie 5.
81Zadanie 6.
81Zadanie 7.
81Zadanie 8.
81Zadanie 2.
82Zadanie 4.
83Zadanie 5.
83Zadanie 7.
83Zadanie 1.
84Zadanie 4.
85Zadanie 1.
86Zadanie 2.
86Zadanie 3.
86Zadanie 4.
86Zadanie 1.
87Zadanie 2.
87Zadanie 3.
87Zadanie 4.
86Zadanie 5.
88Zadanie 7.
88Zadanie 1.
89Zadanie 2.
89Zadanie 3.
89Zadanie 4.
89Zadanie 5.
90Zadanie 6.
90