Musisz skrócić przedstawione ułamki do ułamka nieskracalnego.
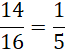
Skracanie ułamków to dzielenie licznika i mianownika przez taką samą liczbę (oprócz 0 i 1).
Ułamek, którego nie można już skrócić, nazywa się nieskracalnym.
14 : 2 = 7, 16 : 2 = 8
21 : 7 = 3, 28 : 7 = 4
Zadanie 3.
70Zadanie 4.
70Zadanie 5.
71Zadanie 3.
72Zadanie 4.
73Zadanie 5.
73Zadanie 2.
74Zadanie 3.
74Zadanie 5.
75Zadanie 6.
75Zadanie 7.
75Zadanie 8.
75Zadanie 9.
75Zadanie 1.
76Zadanie 2.
76Zadanie 4.
76Zadanie 5.
77Zadanie 6.
77Zadanie 1.
78Zadanie 3.
78Zadanie 5.
79Zadanie 6.
79Zadanie 8.
79Zadanie 1.
80Zadanie 2.
80Zadanie 4.
80Zadanie 5.
81Zadanie 6.
81Zadanie 7.
81Zadanie 8.
81Zadanie 2.
82Zadanie 4.
83Zadanie 5.
83Zadanie 7.
83Zadanie 1.
84Zadanie 4.
85Zadanie 1.
86Zadanie 2.
86Zadanie 3.
86Zadanie 4.
86Zadanie 1.
87Zadanie 2.
87Zadanie 3.
87Zadanie 4.
86Zadanie 5.
88Zadanie 7.
88Zadanie 1.
89Zadanie 2.
89Zadanie 3.
89Zadanie 4.
89Zadanie 5.
90Zadanie 6.
90