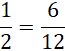
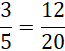
Musisz rozszerzyć podane ułamki.
Rozszerzanie ułamka to pomnożenie licznika i mianownika przez taką samą liczbę (oprócz 0 i 1).
1 ∙ 6 = 6, 2 ∙ 6 = 12
3 ∙ 4 = 12, 5 ∙ 4 = 20
Zadanie 3.
70Zadanie 4.
70Zadanie 5.
71Zadanie 3.
72Zadanie 4.
73Zadanie 5.
73Zadanie 2.
74Zadanie 3.
74Zadanie 5.
75Zadanie 6.
75Zadanie 7.
75Zadanie 8.
75Zadanie 9.
75Zadanie 1.
76Zadanie 2.
76Zadanie 4.
76Zadanie 5.
77Zadanie 6.
77Zadanie 1.
78Zadanie 3.
78Zadanie 5.
79Zadanie 6.
79Zadanie 8.
79Zadanie 1.
80Zadanie 2.
80Zadanie 4.
80Zadanie 5.
81Zadanie 6.
81Zadanie 7.
81Zadanie 8.
81Zadanie 2.
82Zadanie 4.
83Zadanie 5.
83Zadanie 7.
83Zadanie 1.
84Zadanie 4.
85Zadanie 1.
86Zadanie 2.
86Zadanie 3.
86Zadanie 4.
86Zadanie 1.
87Zadanie 2.
87Zadanie 3.
87Zadanie 4.
86Zadanie 5.
88Zadanie 7.
88Zadanie 1.
89Zadanie 2.
89Zadanie 3.
89Zadanie 4.
89Zadanie 5.
90Zadanie 6.
90