W tym zadaniu wskaż wszystkie wymierne pierwiastki wielomianów.
Szukasz całkowitych pierwiastków wielomianu, które są dzielnikami wyrazu wolnego.
Żadna z tych liczb nie jest pierwiastkiem wielomianu. Szukasz zatem wymiernych pierwiastków wielomianu zgodnie z twierdzeniem o wymiernych pierwiastkach.
Liczby całkowite zostały sprawdzone, więc szukasz wśród liczb wymiernych.
Zatem liczba
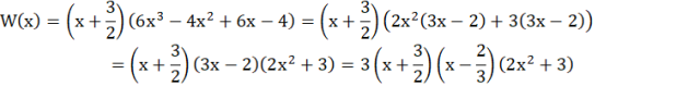
Zgodnie z twierdzeniami o pierwiastkach całkowitych i wymiernych wielomianu sprawdzasz, które liczby są jego pierwiastkami. Po ustaleniu danej liczby wykonujesz dzielenie pisemne wielomianu. Wynikiem dzielenia jest wielomian stopnia trzeciego, który sprowadzasz do postaci iloczynowej w celu znalezienia wszystkich pierwiastków pierwotnego wielomianu.
Ćwiczenie B
11Przykład 1
11Przykład 2
12Zadanie 1
13Zadanie 2
13Zadanie 3
13Zadanie 4
13Zadanie 5
13Zadanie 6
13Zadanie 7
14Zadanie 8
14Zadanie 9
14Zadanie 10
14Zadanie 11
14Zadanie 13
14Ćwiczenie A
15Przykład 1
15Przykład 2
16Przykład 3
17Przykład 4
18Zadanie 1
19Zadanie 2
19Zadanie 3
19Zadanie 4
19Zadanie 5
19Zadanie 6
20Zadanie 7
20Zadanie 8
20Zadanie 9
20Zadanie 10
20Zadanie 11
20Zadanie 12
20Zadanie 13
21Zadanie 14
21Zadanie 15
21Zadanie 16
21Ćwiczenie A
22Ćwiczenie B
22Ćwiczenie C
25Ćwiczenie F
26Przykład 1
23Przykład 2
24Zadanie 1
26Zadanie 2
26Zadanie 3
26Zadanie 4
27Zadanie 5
27Zadanie 6
27Zadanie 7
27Zadanie 8
27Zadanie 9
27Zadanie 10
27Zadanie 11
28Zadanie 12
28Zadanie 13
28Zadanie 14
28Zadanie 17
28Zadanie 18
28Zadanie 19
28Zadanie 20
29Zadanie 21
29Zadanie 23
29Ćwiczenie A
30Zadanie 1
33Zadanie 2
33Zadanie 3
33Zadanie 4
34Zadanie 5
34Zadanie 6
34Zadanie 7
34Zadanie 9
34Zadanie 10
34Zadanie 12
36Zadanie 1
39Zadanie 2
39Zadanie 3
39Zadanie 4
39Zadanie 5
39Zadanie 7
40Zadanie 1
45Zadanie 2
45Zadanie 3
45Zadanie 4
45Zadanie 5
45Zadanie 6
46Zadanie 7
46Zadanie 8
46Zadanie 9
46Zadanie 13
46Zadanie 16
47Zadanie 1
48Zadanie 2
48Zadanie 4
48Zadanie 6
48Zadanie 8
48Zadanie 9
48Zadanie 10
48Zadanie 13
48