W tym zadaniu rozłóż dany wielomian na czynniki.
Oblicz miejsca zerowe trójmianu kwadratowego:
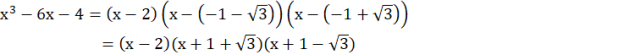
Zatem wielomian wygląda następująco:
Uporządkuj dane wyrażenie w taki sposób, aby możliwe było wyłączenie wspólnego czynnika przed nawias. Taka operacja będzie możliwa po uprzednim wykorzystaniu wzoru na różnicę kwadratów. Po wyłączeniu wspólnego czynnika przed nawias obliczasz deltę powstałego trójmianu kwadratowego, w celu określenia jego pierwiastków potrzebnych do rozłożenia go na czynniki.
Ćwiczenie B
11Przykład 1
11Przykład 2
12Zadanie 1
13Zadanie 2
13Zadanie 3
13Zadanie 4
13Zadanie 5
13Zadanie 6
13Zadanie 7
14Zadanie 8
14Zadanie 9
14Zadanie 10
14Zadanie 11
14Zadanie 13
14Ćwiczenie A
15Przykład 1
15Przykład 2
16Przykład 3
17Przykład 4
18Zadanie 1
19Zadanie 2
19Zadanie 3
19Zadanie 4
19Zadanie 5
19Zadanie 6
20Zadanie 7
20Zadanie 8
20Zadanie 9
20Zadanie 10
20Zadanie 11
20Zadanie 12
20Zadanie 13
21Zadanie 14
21Zadanie 15
21Zadanie 16
21Ćwiczenie A
22Ćwiczenie B
22Ćwiczenie C
25Ćwiczenie F
26Przykład 1
23Przykład 2
24Zadanie 1
26Zadanie 2
26Zadanie 3
26Zadanie 4
27Zadanie 5
27Zadanie 6
27Zadanie 7
27Zadanie 8
27Zadanie 9
27Zadanie 10
27Zadanie 11
28Zadanie 12
28Zadanie 13
28Zadanie 14
28Zadanie 17
28Zadanie 18
28Zadanie 19
28Zadanie 20
29Zadanie 21
29Zadanie 23
29Ćwiczenie A
30Zadanie 1
33Zadanie 2
33Zadanie 3
33Zadanie 4
34Zadanie 5
34Zadanie 6
34Zadanie 7
34Zadanie 9
34Zadanie 10
34Zadanie 12
36Zadanie 1
39Zadanie 2
39Zadanie 3
39Zadanie 4
39Zadanie 5
39Zadanie 7
40Zadanie 1
45Zadanie 2
45Zadanie 3
45Zadanie 4
45Zadanie 5
45Zadanie 6
46Zadanie 7
46Zadanie 8
46Zadanie 9
46Zadanie 13
46Zadanie 16
47Zadanie 1
48Zadanie 2
48Zadanie 4
48Zadanie 6
48Zadanie 8
48Zadanie 9
48Zadanie 10
48Zadanie 13
48