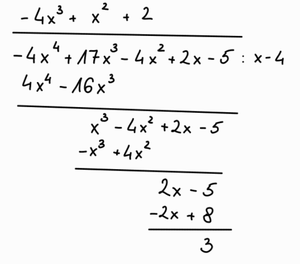
Zadanie

W tym zadaniu wykonaj dzielenie wielomianów z resztą.

Rozwiązanie

Wyjaśnienie

Zadania z tego działu
Wielomiany
9
Rozkład wielomianu na czynniki
15

Ćwiczenie A

15

Przykład 1

15

Przykład 2

16

Przykład 3

17

Przykład 4

18

Zadanie 1

19

Zadanie 2

19

Zadanie 3

19

Zadanie 4

19

Zadanie 5

19

Zadanie 6

20

Zadanie 7

20

Zadanie 8

20

Zadanie 9

20

Zadanie 10

20

Zadanie 11

20

Zadanie 12

20

Zadanie 13

21

Zadanie 14

21

Zadanie 15

21

Zadanie 16

21
Równania wielomianowe
22

Ćwiczenie A

22

Ćwiczenie B

22

Ćwiczenie C

25

Ćwiczenie F

26

Przykład 1

23

Przykład 2

24

Zadanie 1

26

Zadanie 2

26

Zadanie 3

26

Zadanie 4

27

Zadanie 5

27

Zadanie 6

27

Zadanie 7

27

Zadanie 8

27

Zadanie 9

27

Zadanie 10

27

Zadanie 11

28

Zadanie 12

28

Zadanie 13

28

Zadanie 14

28

Zadanie 17

28

Zadanie 18

28

Zadanie 19

28

Zadanie 20

29

Zadanie 21

29

Zadanie 23

29