| P | F | |
| Szansa na wylosowanie liczby pierwszej stanowi 75% szansy na wylosowanie liczby złożonej. | P | F |
| Prawdopodobieństwa wylosowania liczby dwucyfrowej i pierwszej są różne. | P | F |
| Prawdopodobieństwa wylosowania liczby jednocyfrowej i złożonej są jednakowe. | P | F |
1)
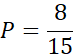
Liczby z tego zbioru podzielne przez 3 to: 3, 6, 9, 12 i 15.
Prawda
2)
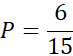
Liczby pierwsze z tego zbioru to: 2, 3, 5, 7, 11, 13
Liczby złożone z tego zbioru to: 4, 6, 8, 9, 10, 12, 14, 15
prawda
3)
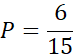
Liczby pierwsze z tego zbioru to: 2, 3, 5, 7, 11, 13
Liczby dwucyfrowe z tego zbioru: 10, 11, 12, 13, 14, 15
fałsz
4)
Liczby jednocyfrowe z tego zbioru:
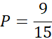
1, 2, 3, 4, 5, 6, 7, 8, 9
Liczby złożone z tego zbioru to: 4, 6, 8, 9, 10, 12, 14, 15
fałsz
Aby prawdopodobieństwa były równe liczba zdarzeń sprzyjających musi być taka sama.