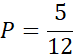
W torebce Jacka było 25 żelków truskawkowych, 13 pomarańczowych, 10 wiśniowych i 12 cytrynowych. Oblicz prawdopodobieństwo zdarzenia, w którym pierwszy wylosowany żelek będzie truskawkowy.
Rozwiązanie
Wyjaśnienie
Prawdopodobieństwo to stosunek liczby zdarzeń, które sprzyjają temu doświadczeniu, do liczby wszystkich możliwych zdarzeń tego doświadczenia.