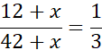
Oblicz, ile losów pełnych trzeba dołożyć żeby prawdopodobieństwo wylosowania losu pełnego to jedna trzecia. Wiemy, że w woreczku jest już 12 losów pełnych i 30 pustych.
Rozwiązanie
12 + 30 = 42
Należy dołożyć 3 takie losy.
Wyjaśnienie
Prawdopodobieństwo to stosunek liczby zdarzeń, które sprzyjają temu doświadczeniu, do liczby wszystkich możliwych zdarzeń tego doświadczenia.