Zadanie

Mamy 40 kul. Białych jest czterokrotnie więcej od czarnych, których jest o dwie więcej od zielonych. Oblicz szansę na wyciągnięcie białej kuli.

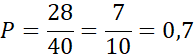
Rozwiązanie

Wyjaśnienie

Zadania z tego działu
Elementy statystyki opisowej, kombinatoryki i rachunku prawdopodobieństwa
219