Oblicz, ile jest kul w urnie, jeśli białych jest 5, a prawdopodobieństwo wylosowania czerwonej wynosi cztery dziewiąte.
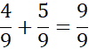
Mamy 4 kule czerwone i 5 białych, co daje 9 kul:
Prawdopodobieństwo to stosunek liczby zdarzeń, które sprzyjają temu doświadczeniu, do liczby wszystkich możliwych zdarzeń tego doświadczenia.
Zadanie 1.
Podpunkt a)
Podpunkt b)
Podpunkt c)
Podpunkt d)
Zadanie 2.
Zadanie 3.
Zadanie 4.
Zadanie 5.
Zadanie 6.
Zadanie 7.
Zadanie 8.
Zadanie 9.
Zadanie 10.
Ćwiczenie 1.
Ćwiczenie 2.
Ćwiczenie 3.
Ćwiczenie 4.
Ćwiczenie 5.
Ćwiczenie 6.
Zadanie 11.
Zadanie 12.
Zadanie 13.
Zadanie 14.