W tym zadaniu musisz sprawdzić, czy równania
Odpowiedź: Równania są równoważne.
Zacznij od wyznaczenia dziedziny pierwszego równania:
odejmij od obu stron
pomnóż obie strony razy
do zbioru wartości należy liczba -5. Wyznacz dziedzinę drugiego równania:
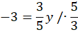
odejmij y od równania -
pomnóż razy 3 -
odejmij 1
podziel na 2
do zbioru wartości należy liczba -5. Oba równania mają tę samą dziedzinę i zbiór wartości, więc są równoważne.
Ćwiczenie 1.
130Ćwiczenie 2.
130Ćwiczenie 3.
131Ćwiczenie 4.
133Ćwiczenie 5.
133Ćwiczenie 7.
134Ćwiczenie 8.
135Zadanie 6.2.
137Zadanie 6.3.
137Zadanie 6.5.
137Zadanie 6.6.
137Zadanie 6.7.
138Zadanie 6.8.
138Zadanie 6.9.
138Zadanie 6.11.
138Ćwiczenie 15.
140Ćwiczenie 16.
141Ćwiczenie 17.
142Ćwiczenie 18.
142Ćwiczenie 19.
143Zadanie 6.15.
143Zadanie 6.16.
143Zadanie 6.18.
144Zadanie 6.21.
144Zadanie 6.23.
144Ćwiczenie 20.
145Ćwiczenie 21.
146Zadanie 6.25.
147Zadanie 6.26.
147Ćwiczenie 23.
149Ćwiczenie 24.
149Ćwiczenie 25.
149Ćwiczenie 26.
150Ćwiczenie 27.
150Ćwiczenie 28.
151Ćwiczenie 29.
151Zadanie 6.36.
152Zadanie 6.37.
152Zadanie 6.39.
152Zadanie 6.40.
152Zadanie 6.41.
153Zadanie 6.42.
153Zadanie 6.43.
153Ćwiczenie 30.
154Ćwiczenie 31.
155Ćwiczenie 32.
155Zadanie 6.45.
152Zadanie 6.46.
155Zadanie 6.47.
156Zadanie 6.48.
156Zadanie 6.49.
156