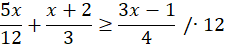
W tym zadaniu musisz rozwiązać nierówność:
Nierówność tożsamościowa, każde x spełnia nierówność.
Rozwiąż nierówność, korzystając ze wzorów skróconego mnożenia:
Nierówność jest tożsamościowa, więc x należy do zbioru liczb rzeczywistych.
Ćwiczenie 1.
130Ćwiczenie 2.
130Ćwiczenie 3.
131Ćwiczenie 4.
133Ćwiczenie 5.
133Ćwiczenie 7.
134Ćwiczenie 8.
135Zadanie 6.2.
137Zadanie 6.3.
137Zadanie 6.5.
137Zadanie 6.6.
137Zadanie 6.7.
138Zadanie 6.8.
138Zadanie 6.9.
138Zadanie 6.11.
138Ćwiczenie 15.
140Ćwiczenie 16.
141Ćwiczenie 17.
142Ćwiczenie 18.
142Ćwiczenie 19.
143Zadanie 6.15.
143Zadanie 6.16.
143Zadanie 6.18.
144Zadanie 6.21.
144Zadanie 6.23.
144Ćwiczenie 20.
145Ćwiczenie 21.
146Zadanie 6.25.
147Zadanie 6.26.
147Ćwiczenie 23.
149Ćwiczenie 24.
149Ćwiczenie 25.
149Ćwiczenie 26.
150Ćwiczenie 27.
150Ćwiczenie 28.
151Ćwiczenie 29.
151Zadanie 6.36.
152Zadanie 6.37.
152Zadanie 6.39.
152Zadanie 6.40.
152Zadanie 6.41.
153Zadanie 6.42.
153Zadanie 6.43.
153Ćwiczenie 30.
154Ćwiczenie 31.
155Ćwiczenie 32.
155Zadanie 6.45.
152Zadanie 6.46.
155Zadanie 6.47.
156Zadanie 6.48.
156Zadanie 6.49.
156