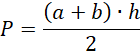
W tym zadaniu musisz obliczyć objętość graniastosłupa na podstawie danych z rysunku.
Oblicz pole podstawy narysowanej bryły. Jeśli byśmy ją obrócili, to byłby to graniastosłup o podstawie trapezu, więc oblicz pole tej podstawy, używając wzoru na pole trapezu, a następnie oblicz objętość graniastosłupa.
Zadanie 2
116Zadanie 3
116Zadanie 5
116Zadanie 6
116Zadanie 8
117Zadanie 11
117Zadanie 14
118Zadanie 15
118Zadanie 1
119Zadanie 2
119Zadanie 5
119Zadanie 6
119Zadanie 11
120Zadanie 12
120Zadanie 13
120Zadanie 14
120Zadanie 15
120Zadanie 19
120Zadanie 20
121Zadanie 1
122Zadanie 2
122Zadanie 4
122Zadanie 5
122Zadanie 7
123Zadanie 12
123Zadanie 14
124Zadanie 15
124Zadanie 1
125Zadanie 6
126Zadanie 8
126Zadanie 10
126Zadanie 17
127Zadanie 1
128Zadanie 2
128Zadanie 5
128Zadanie 7
128Zadanie 11
129