W tym zadaniu musisz obliczyć czas, jaki potrzebuje Jaś na dogonienie Zosi.
W ciągu godziny Jaś pokona
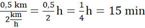
Jaś znajduje się 0,5 km od Zosi więc potrzebuje:
Odpowiedź: Jaś dogoni Zosię po 15 minutach.
Na początek oblicz, ile kilometrów nadrobi Jaś w ciągu godziny. Skoro chłopiec w ciągu godziny zmniejsza dystans o 2 km, to cztery razy krótszy dystans pokona w
Ćwiczenie 1
74Ćwiczenie 2
74Zadanie 2
74Zadanie 5
75Zadanie Zadanie sprawdzające2
75Ćwiczenie 1
76Zadanie 2
76Zadanie Zadanie sprawdzające1
77Zadanie 1
78Zadanie 5
79Ćwiczenie 1
79Zadanie 1
80Zadanie 3
80Zadanie Zadanie sprawdzające2
81Zadanie 2
82Zadanie 3
82Zadanie Zadanie sprawdzające1
82Zadanie Zadanie sprawdzające2
83Ćwiczenie 1
83Ćwiczenie 2
83Zadanie Zadanie sprawdzające1
84Zadanie 1
86Zadanie 2
87Zadanie 4
87Ćwiczenie 5
88Ćwiczenie 1
90Ćwiczenie 3
90Ćwiczenie 6
91Ćwiczenie 1
93Zadanie 1
94Zadanie 2
94Zadanie 7
98