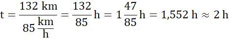
W tym zadaniu musisz obliczyć czas podróży, znając prędkość pociągu i odczytując odległość z mapy.
Kielce – Kraków: 132 km
Na początek zapisz wzór na czas. Następnie odszukaj na mapie odpowiednią trasę. Wstaw podane wartości i wykonaj dzielenie. Na koniec zaokrąglij wynik z nadmiarem.
Ćwiczenie 1
74Ćwiczenie 2
74Zadanie 2
74Zadanie 5
75Zadanie Zadanie sprawdzające2
75Ćwiczenie 1
76Zadanie 2
76Zadanie Zadanie sprawdzające1
77Zadanie 1
78Zadanie 5
79Ćwiczenie 1
79Zadanie 1
80Zadanie 3
80Zadanie Zadanie sprawdzające2
81Zadanie 2
82Zadanie 3
82Zadanie Zadanie sprawdzające1
82Zadanie Zadanie sprawdzające2
83Ćwiczenie 1
83Ćwiczenie 2
83Zadanie Zadanie sprawdzające1
84Zadanie 1
86Zadanie 2
87Zadanie 4
87Ćwiczenie 5
88Ćwiczenie 1
90Ćwiczenie 3
90Ćwiczenie 6
91Ćwiczenie 1
93Zadanie 1
94Zadanie 2
94Zadanie 7
98