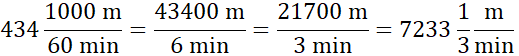
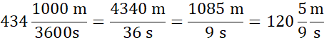
W tym zadaniu musisz podać prędkość w metrach na sekundę i metrach na minutę.
Na początek zamień 1 kilometr na 1000 metrów i godzinę na 3600 sekund. Pomnóż licznik przez liczbę przed ułamkiem. Skróć ułamek i wyłącz całości. Podobnie postąp z zamianą na kilometry na minutę – godzinę zamień na 60 minut. Wymnóż, skróć i wyłącz całości przed ułamek.
Ćwiczenie 1
74Ćwiczenie 2
74Zadanie 2
74Zadanie 5
75Zadanie Zadanie sprawdzające2
75Ćwiczenie 1
76Zadanie 2
76Zadanie Zadanie sprawdzające1
77Zadanie 1
78Zadanie 5
79Ćwiczenie 1
79Zadanie 1
80Zadanie 3
80Zadanie Zadanie sprawdzające2
81Zadanie 2
82Zadanie 3
82Zadanie Zadanie sprawdzające1
82Zadanie Zadanie sprawdzające2
83Ćwiczenie 1
83Ćwiczenie 2
83Zadanie Zadanie sprawdzające1
84Zadanie 1
86Zadanie 2
87Zadanie 4
87Ćwiczenie 5
88Ćwiczenie 1
90Ćwiczenie 3
90Ćwiczenie 6
91Ćwiczenie 1
93Zadanie 1
94Zadanie 2
94Zadanie 7
98