Przykład wybranej cechy: niebieski kolor oczu
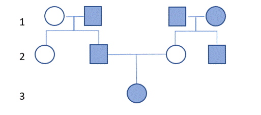
Niebieskim kolorem zaznaczono występowanie kręconych włosów, a białym – prostych. Na podstawie tych informacji można założyć, że podana cecha jest dziedziczona autosomalnie dominująco.
Aby stworzyć rodowód genetyczny swojej rodziny, wybierz dowolną cechę. Może to być np. kolor oczu, kolor włosów, występowanie orlego nosa. Na podstawie uzyskanego rodowodu możesz ustalić, czy dana cecha jest dziedziczona recesywnie, czy dominująco. Jeśli jakaś cecha jest dziedziczona recesywnie to dzieci obojga rodziców posiadających tę cechę będą miały tylko tę cechę.