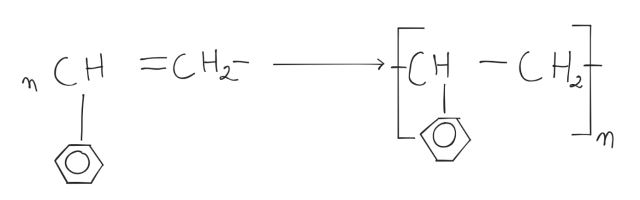
Napisz reakcję polimeryzacji polistyrenu.
Polimeryzacja polega na łączeniu się wielu cząsteczek monomeru (o charakterze nienasyconym) w jedną wielką cząsteczkę – polimer.
Ćwiczenie 1.
Podpunkt a)
Podpunkt b)
Podpunkt c)
Ćwiczenie 2.
Ćwiczenie 3.
Ćwiczenie 4.
Ćwiczenie 5.
Ćwiczenie 6.
Ćwiczenie 7.
Podpunkt d)
Ćwiczenie 8.
Podpunkt e)