Dane:
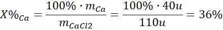
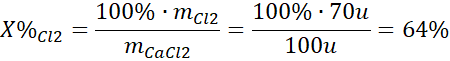
Zawartość procentowa wapnia w chlorku wapnia wynosi 36%, a chloru 64%.
Odszukaj w układzie okresowym masy atomowe każdego z pierwiastków. Oblicz sumaryczną masę cząsteczki.
Kroki:
1. Wypisz wszystkie dane.
2. Oblicz całkowitą masę cząsteczki.
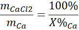
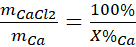
3. Ułóż proporcje, wiedząc, że cała cząsteczka to 100% i masa atomu pierwiastka jest znana:
4. Metodą na krzyż oblicz niewiadomą (to, co na skos od X do mianownika, reszta mnożona w liczniku).
5. Powtórz obliczenia dla kolejnych atomów (lub odejmij wynik od 100%, w przypadku dwóch pierwiastków).
6. Zapisz odpowiedź.