Dane:
S + O2→ SO2
Szukane:
Rozwiązanie:
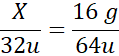
X – 16 g
S + O2→ SO2
32u – 64u
Potrzeba 8 g tlenu do otrzymania 16 g tlenku siarki(IV).
Kroki:
1. Wypisz wszystkie dane, zapisz równanie reakcji, zbilansuj je. Sprawdź, czy wszystkie jednostki się zgadzają.
2. Zapisz niewiadomą.
3. Oblicz masę substancji. Masy odczytasz z układu okresowego.
4. Oblicz masę pierwiastka. Masę odczytasz z układu okresowego.
5. Z proporcji oblicz niewiadomą (to, co na skos od X do mianownika, reszta mnożona w liczniku):
X gram tlenu potrzeba do otrzymania 16 g tlenku siarki(IV)
32u tlenu potrzeba do otrzymania 64u tlenku siarki(IV)
6. Zapisz odpowiedź.