Dane:
2H2 + O2→ 2H2O
Szukane:
Rozwiązanie:
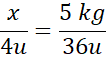
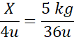
x – 5 kg
2H2 + O2→ 2H2O
4u – 36u
Potrzeba 560 g wodoru, aby otrzymać 5 dm3 wody.
Kroki
1. Wypisz wszystkie dane, zapisz równanie reakcji, zbilansuj je.
2. Zapisz niewiadomą.
3. Oblicz masę substancji. Masy odczytasz z układu okresowego.
4. Oblicz masę pierwiastka. Masę odczytasz z układu okresowego.
5. Z proporcji oblicz niewiadomą (to, co na skos od X do mianownika, reszta mnożona w liczniku).
x gram wodoru potrzeba do wyprodukowania 5 kg wody
4u wodoru potrzeba do wyprodukowanie 36u wody
6. Zapisz odpowiedź.