S + O2→ SO2
Szukane:
Rozwiązanie:
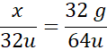
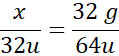
x – 32 g
S + O2→ SO2
32u – 64u
Potrzebne jest 16 g tlenu do otrzymania tlenku siarki(IV).
Kroki:
1. Wypisz wszystkie dane. Zapisz równanie reakcji, zbilansuj je.
2. Zapisz niewiadomą.
3. Masa substancji to suma mas wszystkich pierwiastków tworzących tę substancję. Masę atomową odczytasz z układu okresowego pierwiastków.
4. Oblicz masę szukanego pierwiastka. Z proporcji oblicz niewiadomą (to, co na skos od X do mianownika, reszta mnożona w liczniku):
x gram tlenu potrzebne jest do otrzymania 32 g tlenku siarki(IV)
32u tlenu potrzebne jest do otrzymania 64u tlenku siarki(IV)
5. Zapisz odpowiedź.