Tlenek magnezu MgO
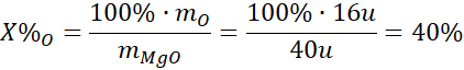
Procentowy udział pierwiastków w cząsteczce to tlen – 40%, magnez – 60%.
Stosunek masowy – stosunek mas pierwiastków w związku chemicznym.
Masy pierwiastków możesz odczytać z układu okresowego pierwiastków, jest to liczba masowa (A). Indeksy stechiometryczne informują o ilości atomów pierwiastków w cząsteczce.
Kroki:
1. Wypisz wszystkie dane.
2. Odczytaj z układu okresowego pierwiastków masy pierwiastków.
3. Ustal niewiadomą.
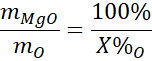
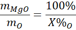
4. Ułóż proporcje, wiedząc, że cała cząsteczka to 100% i masa atomu pierwiastka jest znana:
masa całej cząsteczki tlenku magnezu to 100%
masa tlenu to x
5. Metodą na krzyż oblicz niewiadomą (to, co na skos od X do mianownika, reszta mnożona w liczniku).
6. Powtórz obliczenia dla kolejnych atomów (lub odejmij wynik od 100%, w przypadku dwóch pierwiastków).
7. Zapisz odpowiedź.