Dane:
Szukane:
Rozwiązanie:
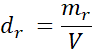
Wypisz dane i sprawdź, czy wszystkie jednostki się zgadzają. Masa roztworu to suma substancji i wody, które tworzą roztwór. Z podanych danych możesz obliczyć masę roztworu, używając przekształconego wzoru na gęstość:
mr – masa roztworu,
V – objętość,
dr – gęstość roztworu.
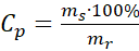
Ze wzoru na stężenie procentowe oblicz niewiadomą:
Cp – stężenie procentowe,
ms – masa substancji,
mr – masa roztworu.