Dane:
Szukane:
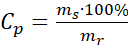
Rozwiązanie:
Wypisz dane i sprawdź, czy wszystkie jednostki się zgadzają. Ze wzoru na stężenie procentowe oblicz niewiadomą:
Cp – stężenie procentowe,
ms – masa substancji,
mr – masa roztworu.
Masa roztworu to suma substancji i wody, które tworzą roztwór. Dla wody przyjmujemy, że 1 cm3 to 1 g, ponieważ gęstość wody w przybliżeniu to 1 g/cm3.