Dane:
Szukane:
Rozwiązanie:
Stężenie tego roztworu wynosi 3,5%.
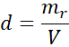
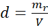
Wypisz dane i sprawdź, czy wszystkie jednostki się zgadzają. Z Masa roztworu to suma substancji i wody, które tworzą roztwór. Z podanych danych możesz obliczyć masę roztworu, używając przekształconego wzoru na gęstość:
d – gęstość,
mr – masa roztworu,
V – objętość roztworu.
Wzór po przekształceniu:
Oblicz ze wzoru na stężenie procentowe niewiadomą: