a) Roztwór powstały w wyniku rozpuszczenia 10 g soli kamiennej w 150 g wody
Dane:
Szukane:
Rozwiązanie:
b) Roztwór powstały w wyniku rozpuszczenia 30 g soli kamiennej w 450 g wody
Dane:
Szukane:
Rozwiązanie:
Oba roztwory mają to samo stężenie procentowe.
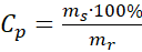
Wypisz dane i sprawdź, czy wszystkie jednostki się zgadzają. Ze wzoru na stężenie procentowe oblicz niewiadomą:
Cp – stężenie procentowe,
ms – masa substancji,
mr – masa roztworu.
Masa roztworu to suma substancji i wody, które tworzą roztwór.