Dane:
Szukane:
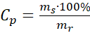
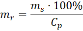
Rozwiązanie:
Masa wody potrzebnej do sporządzenia roztworu wynosi 170 g.
Wypisz dane i sprawdź, czy wszystkie jednostki się zgadzają. Ze wzoru na stężenie procentowe oblicz niewiadomą:
Masa roztworu to suma substancji i wody, które tworzą roztwór. Dla wody przyjmujemy, że 1 cm3/1 mlto 1 g, ponieważ gęstość wody w przybliżeniu to 1 g/cm3.