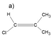
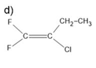
W tym zadaniu musisz przyjrzeć się podanym wzorom i ustalić, które z nich mogą mieć izomery cis/trans.
Gdy mamy równocenne podstawniki przy tym samym atomie węgla nie jesteśmy w stanie stworzyć izomerów cis/trans (izomerów geometrycznych).
Ćwiczenie 3
54Ćwiczenie 4
57Ćwiczenie 6
60Zadanie 3
65Zadanie 5
66Zadanie 6
66Zadanie 7
66Zadanie 8*
66Ćwiczenie 3*
72Ćwiczenie 6
75Zadanie 1
80Zadanie 4
81Zadanie 6
81Zadanie 7
82Zadanie 11
82Ćwiczenie 3
87Ćwiczenie 4
87Ćwiczenie 5
88Zadanie 1
92Zadanie 2
92Zadanie 3
93Zadanie 4
93Zadanie 5
94Zadanie 7
94Ćwiczenie 4
111Ćwiczenie 5
112Ćwiczenie 6
113Ćwiczenie 7
114Zadanie 4
117Zadanie 5
117Zadanie 7
118Ćwiczenie 10
131Pytanie 2
137Pytanie 3
137Pytanie 4
137Zadanie 5
139Zadanie 6
139Zadanie 7
139