W tym zadaniu oblicz liczbę cząsteczek glukozy.
Na początku zapisz równanie reakcji hydrolizy:
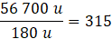
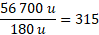
Aby obliczyć liczbę cząsteczek glukozy, należy podzielić masę cząsteczkową skrobi przez masę glukozy:
Zadanie 1.
Zadanie 2.
Podpunkt a)
Podpunkt b)
Podpunkt c)
Podpunkt d)
Zadanie 3.
Zadanie 4.
Zadanie 5.
Zadanie 6.
Zadanie 7.
Zadanie 8.
Zadanie 9.
Podpunkt e)
Podpunkt f)
Podpunkt g)
Zadanie 10.
Zadanie 11.
Pytanie 1.
Pytanie 2.
Pytanie 3.
Pytanie 4.
Pytanie 5.